What is von Mises Stress?
von Mises stress is an equivalent stress – A single scalar value that represents the effect of a complex, multi-axial stress state. It allows engineers to assess whether a material will yield under combined loading, by comparing that stress to the material’s uniaxial yield strength.
In real-world scenarios, components rarely experience pure axial or shear loading. Instead, they are subject to combinations of normal and shear stresses. Von Mises stress simplifies this complexity by providing a single value that reflects the intensity of the entire stress state.
Von Mises Stress Formula
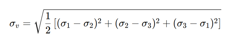
Below is a visual summary of the most commonly used forms of the Von Mises stress equation, including:
- Principal stresses
- 3D Cartesian components
- 2D Plane stress condition

The image above provides a complete reference. Among these, the principal stress form is widely used in hand calculations and FEA interpretation:

Where:
- σ1, σ2, σ3 are the principal stresses
For thin components under plane stress (e.g., plates), the equation simplifies further. We’ll explain when to use each form in the following sections.
2D Plane Stress Simplification
When out-of-plane stress is negligible (as in thin plates), the equation simplifies:

Von Mises Yield Criterion
The Von Mises yield criterion states that yielding begins when the von Mises equivalent stress reaches the material’s yield strength:

This criterion is particularly accurate for ductile materials, where failure occurs due to shear distortion rather than purely axial tension.
Also read a comparison between failure criteria.
Application in FEA (Finite Element Analysis)
In finite element analysis tools like ANSYS or Abaqus, von Mises stress is commonly used as the default output in postprocessing. It allows engineers to:
- Directly compare stress results with material yield strength
- Apply design safety factors using a single scalar quantity
- Easily identify critical regions in a complex structure under combined loading
For safe design, it is standard to ensure:

Where SF is the allowable safety factor for the design.
Von Mises vs Tresca
The Tresca criterion is another approach for evaluating yield in ductile materials, based on maximum shear stress. Compared to Von Mises, it is slightly more conservative.
| Criterion | Based On | Conservative? | Common Use |
|---|---|---|---|
| Von Mises | Distortion energy | Moderately conservative | General structural & mechanical design |
| Tresca | Maximum shear stress | More conservative | Pressure vessels, safety-critical parts |
Also read a comparison between failure criteria.
Key Takeaways
- Von Mises stress is an equivalent stress used to evaluate yielding under combined loading
- It reduces a 3D stress state to a single value based on principal stress differences
- Commonly used in FEA software for failure checks and postprocessing
- Works well for ductile metals and is compatible with most design codes
By expressing a complex stress condition as one meaningful value, Von Mises stress provides clarity and consistency for engineers performing structural analysis and material assessments.
[1] https://en.wikipedia.org/wiki/Von_Mises_yield_criterion
This page is part of The Encyclopedia of Stresses in Solids